CÁC PHƯƠNG PHÁP TỔNG HỢP NHỰA ALKYD
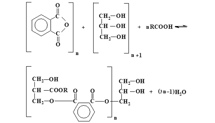
1.1. Phương pháp axít béo (phương pháp 1 giai đoạn).
- Đây là phương pháp đi từ axit béo, phương pháp này thực hiện phản ứng nhanh, thao tác dễ dàng, xây dựng đơn phối liệu linh động, sản phẩm có tính năng kỹ thuật tốt như: Trọng lượng phân tử đồng đều, độ cứng, bền va đập, bền nước, chịu môi trường… Song có nhược điểm là nguyên liệu đầu vào có giá thành cao, khó tìm, kiểm soát quá trình thực hiện phản ứng khó. Sản phẩm có giá thành tương đối cao.
(*) Đi từ Glyxerin: Phản ứng hoá học xảy ra như sau.

(*) Đi từ Penta erythrytol và Ethylen glycol: Phản ứng hoá học xẩy ra như sau

>> Nhận tư vấn các giải pháp kỹ thuật phù hợp trong quá trình thi công sản phẩm <<< />m>
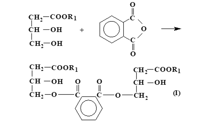
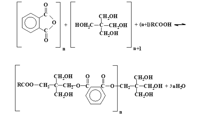
1.2. Phương pháp rượu hoá (phương pháp 2 giai đoạn).
(*) Đi từ Glyxerin.
Giai đoạn 1: Đây là giai đoạn Alcol phân (Rượu hoá). Thực hiện phản ứng chuyển hoá Ester.

- Thực hiện phản ứng này ta phải dùng xúc tác như: ôxít, muối của kim loại chuyển tiếp, hydroxit, muối của kim loại kiềm. Trong thực tế thường dùng các oxit, muối của Pb. Khi cân bằng đạt được, hỗn hợp phản ứng bao gồm: Dầu dư, Monoglyxerid, Diglyxerid, Glyxerin dư, song hợp phần chủ yếu của quá trình là a-monoglyxerid.
- Để kiểm tra lượng a-monoglyxerid trong quá trình phản ứng Alcol phân. Ta dùng rượu (Ethanol, Methanol) hoà tan lượng này ở nhiệt độ môi trường.
- Lượng xúc tác có ảnh hưởng lớn đến phản ứng Alcol phân. Nếu lượng xúc tác nhỏ, tốc độ phản ứng xảy ra rất chậm, không tạo ra được nhiều hợp phần α- monoglyxerid, làm khả năng phản ứng của nguyên liệu (Dầu, Glyxerin, Anhydride phthalic) với nhau kém.
- Nếu lượng xúc tác còn dư lại, trong khi đó cân bằng của phản ứng đã đạt được. Xúc tác sẽ tác dụng với Anhydride tạo muối kim loại gây ảnh hưởng cho phản ứng ester hoá sau này.
Giai đoạn 2: Thực hiện phản ứng Ester hoá.

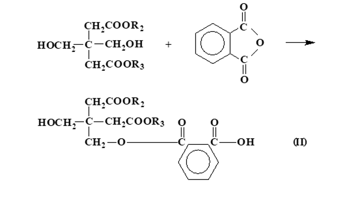
(*) Đi từ Penta erythrytol.
Giai đoạn 1: Thực hiện phản ứng chuyển hoá Ester.

Phản ứng tối ưu là tạo Monoglyxerid.
Giai đoạn 2: Thực hiện phản ứng ester hoá.



- Đây là phản ứng giữa Monoglyxerid, Pentaerythrid đã được thay thế 2 nhóm ephin với Anhydride phthalic. Ngoài ra còn có phản ứng trùng hợp các nối đôi của axit béo trong dầu thảo mộc, phản ứng trùng hợp ở giai đoạn cuối tăng theo thời gian và nhiệt độ.
- Phương pháp sản xuất hai giai đoạn: Thực hiện phản ứng chậm, sản phẩm có tính năng tốt như: Độ bền uốn, bám dính, dễ hoà tan trong dung môi thơm, dầu thông, white spirit và chủ yếu khô do ôxi hoá … Nguyên liệu đầu vào là dầu thảo mộc dễ tìm kiếm, dễ kiểm soát quá trình phản ứng, sản phẩm có giá thành thấp. Hiện nay đa số các công ty sản xuất nhựa Alkyd trong nước thường sử dụng phương pháp này.
Hiện Mega Việt Nam chúng tôi đã và đang cung cấp trên thị trường các loại nguyên liệu cho sơn Alkyd, Sơn Epoxy, sơn PU, Sơn AC…hệ dung môi.
>> Xem ngay các loại hóa chất ngành sơn tốt nhất trên thị trường hiện nay <<< />pan>
Mọi thông tin vui lòng liên hệ:
Ban Biên tập Mega Việt Nam
Địa chỉ: Tầng 2-A2-IA20, KĐT Nam Thăng Long, đường Phạm Văn Đồng,
P.Đông Ngạc, Q. Bắc Từ Liêm, TP. Hà Nội, Việt Nam.
Email: contact@megavietnam.vn
Tel: (+84) 24 375 89089; Fax: (+84) 24 375 89098
Website: megavietnam.vn
Hotline: 1800.577.728; Zalo: 0971.023.523


